Here is full list of Rs1,500 prize bond winners for February 2026 draw
By
The National Savings Centre in Lahore has announced the winners of the Rs1,500 prize bond draw for February 2026.
As per the State Bank of Pakistan’s (SBP) policy, the first prize is worth Rs3 million, while three second prizes of Rs1 million each have been awarded.
Rs1,500 Prize Bond top winners February 2026
First Prize: Rs3 million — Ticket number: 429148
Second Prizes: Rs1 million each — Ticket numbers: 430347, 591133, and 628300
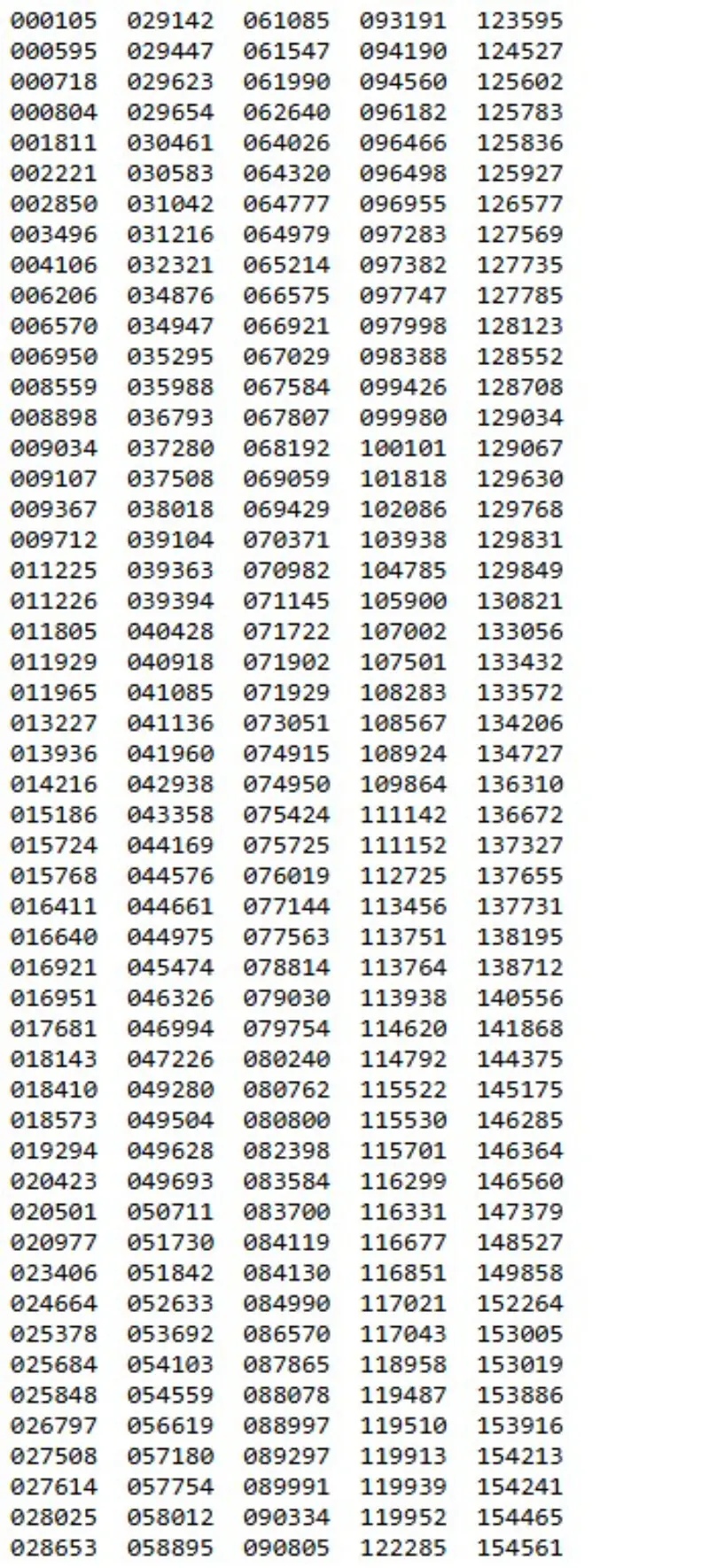
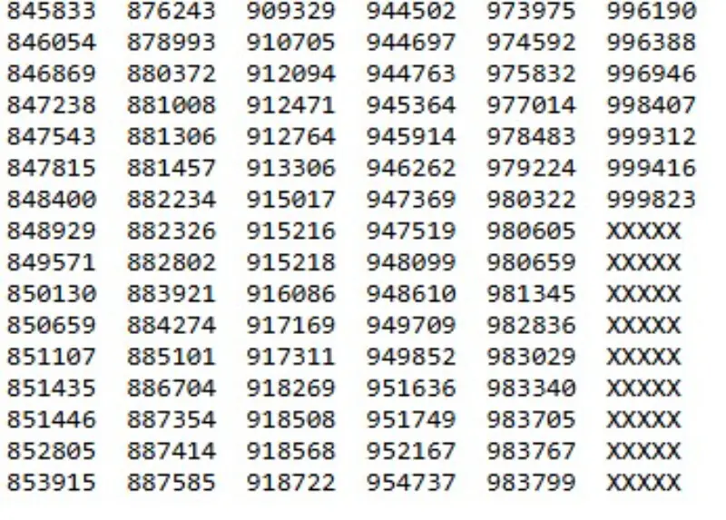
Third Prize: Rs18,500 each, 1,696 winners:







For the latest news, follow us on Twitter @Aaj_Urdu. We are also on Facebook, Instagram and YouTube.


















