Rs40,000 prize bond winners announced, here is the full list
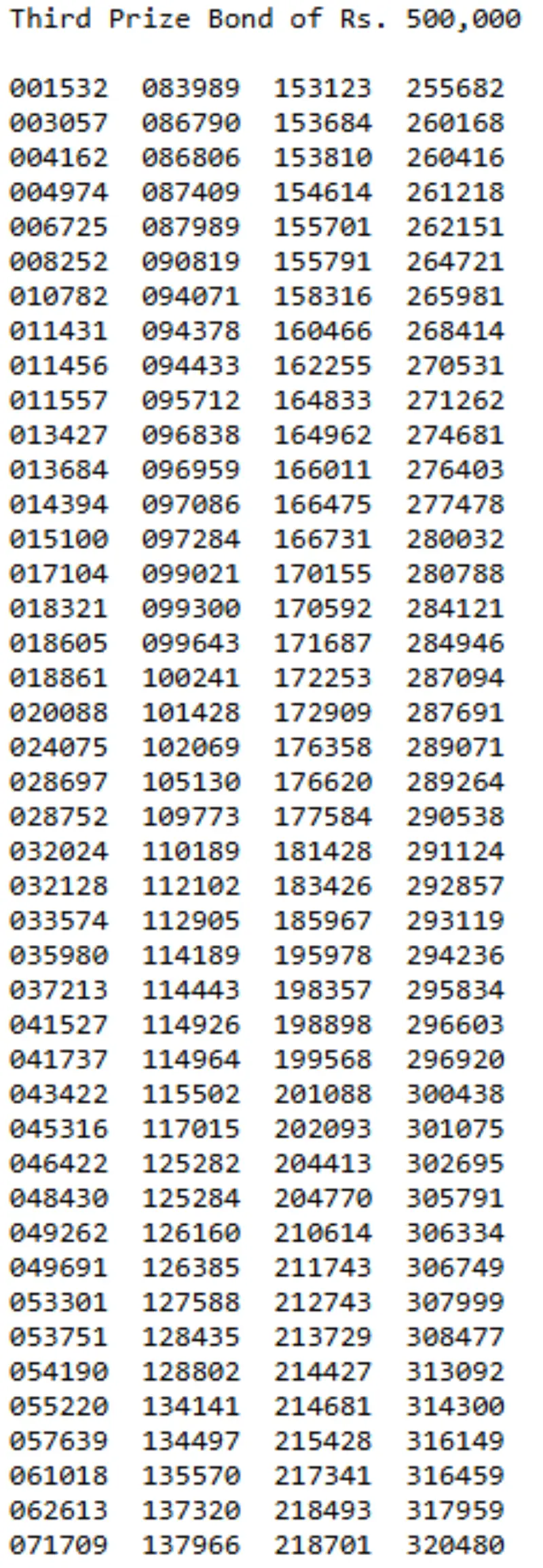
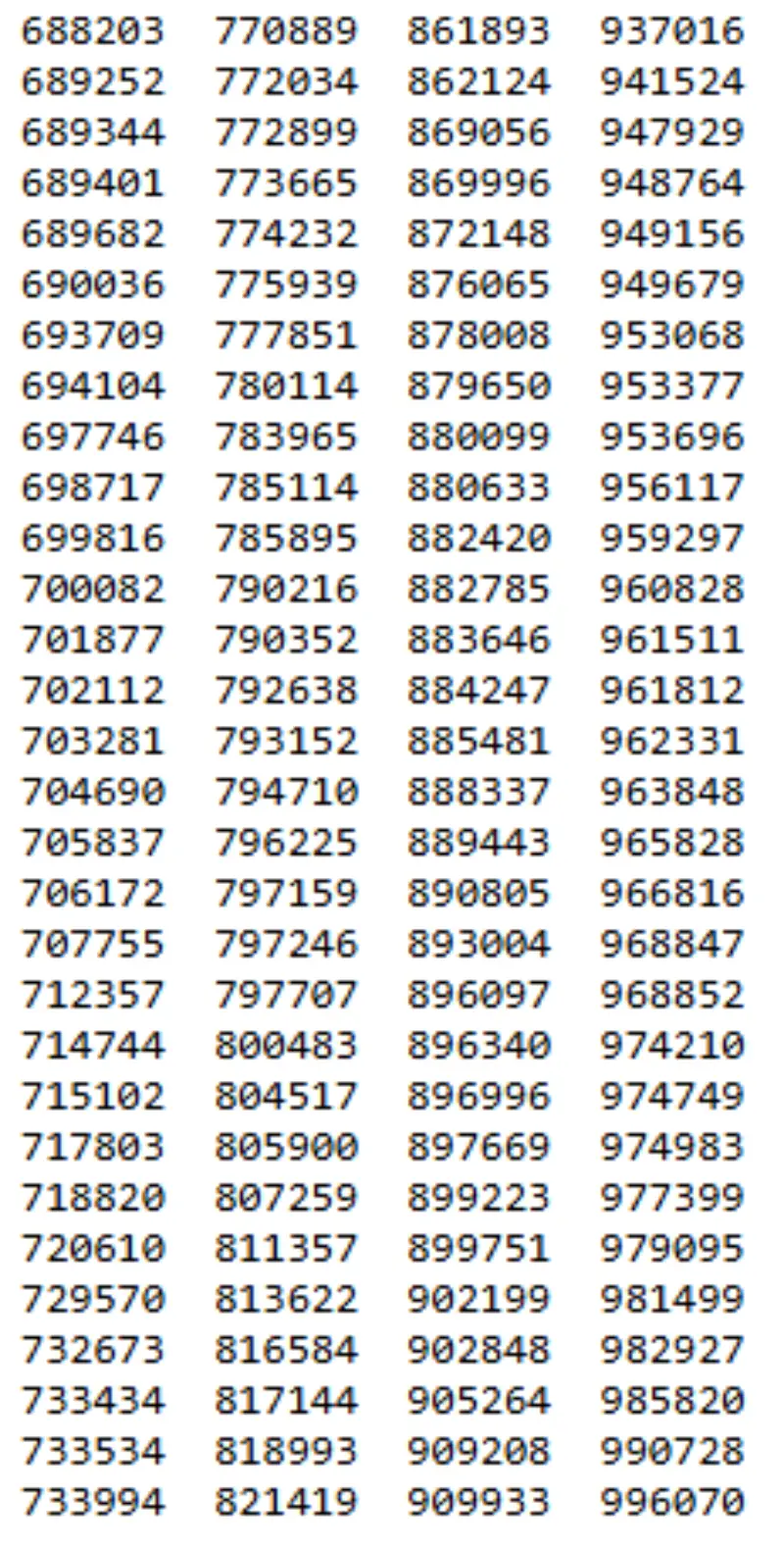
National Savings Division shared results of Rs40,000 Premium Prize Bond draw held on September 10, 2025. The first prize was claimed by bond number 095187, while the second prize went to three bond numbers 529927 – 627732 – 771967.
Bondholders across the country can now check if they were among the lucky winners of the high-value draw.





For the latest news, follow us on Twitter @Aaj_Urdu. We are also on Facebook, Instagram and YouTube.






















Comments are closed on this story.