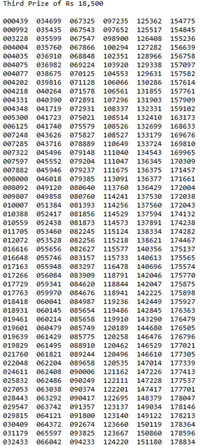
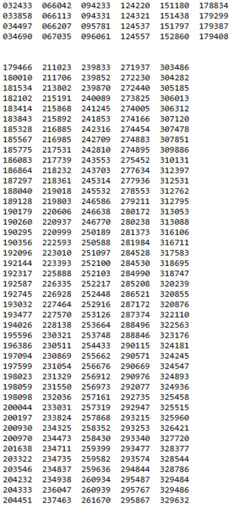
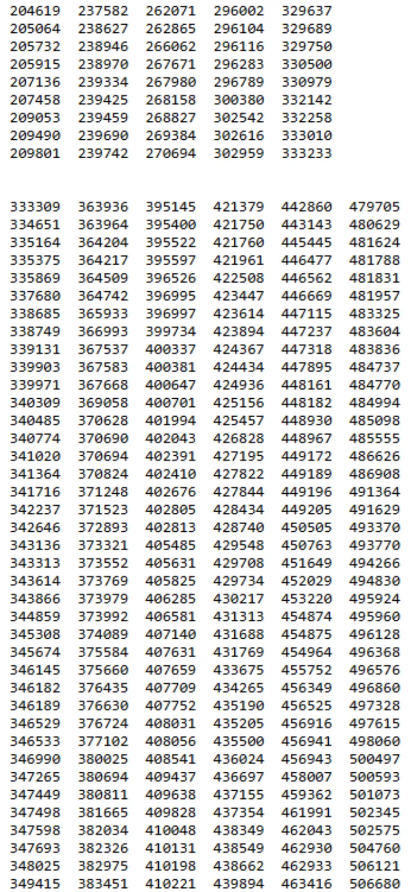
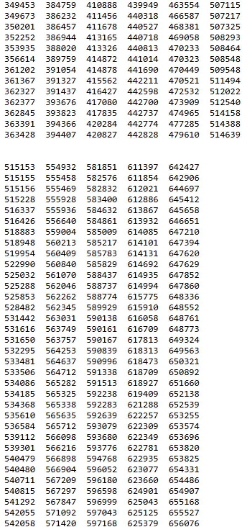
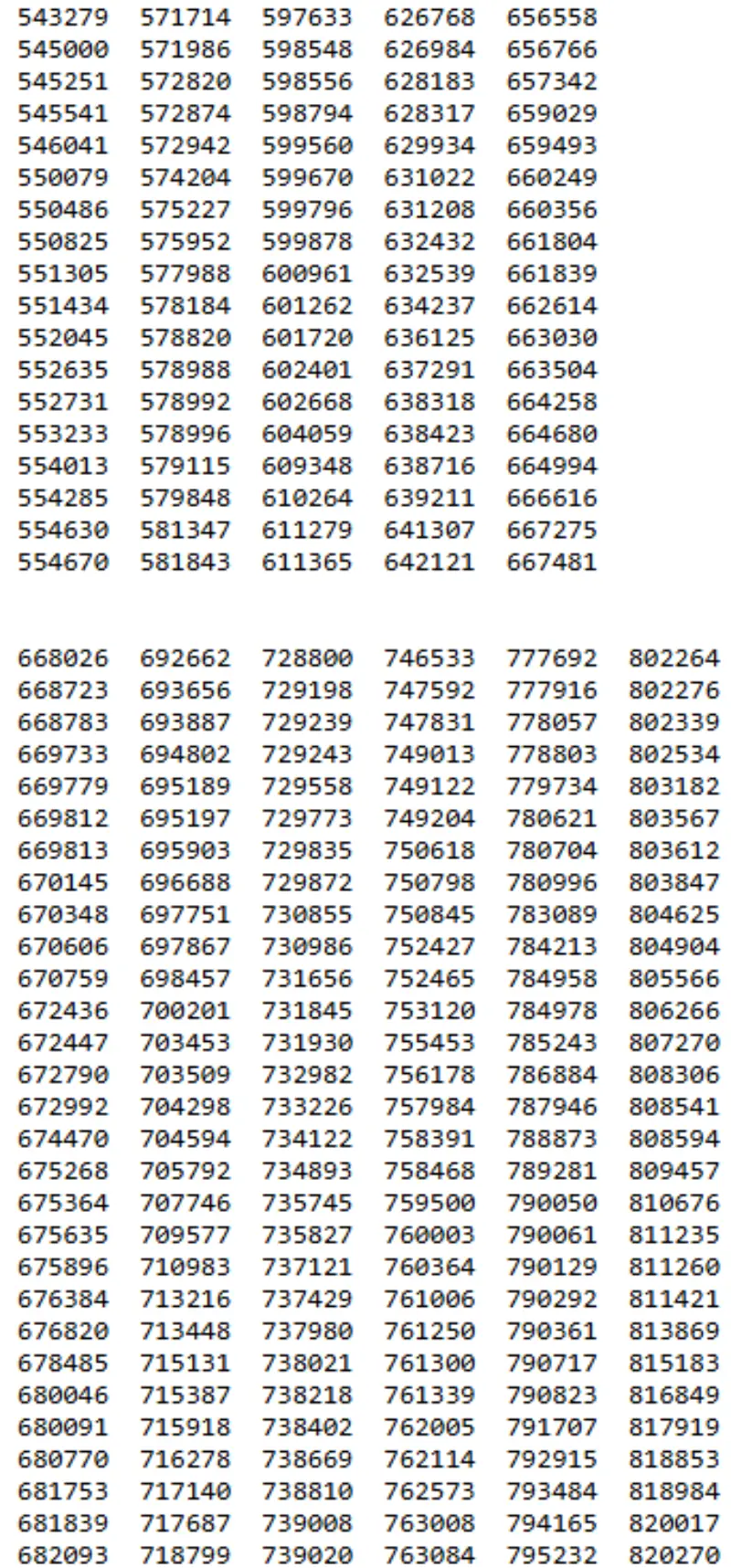
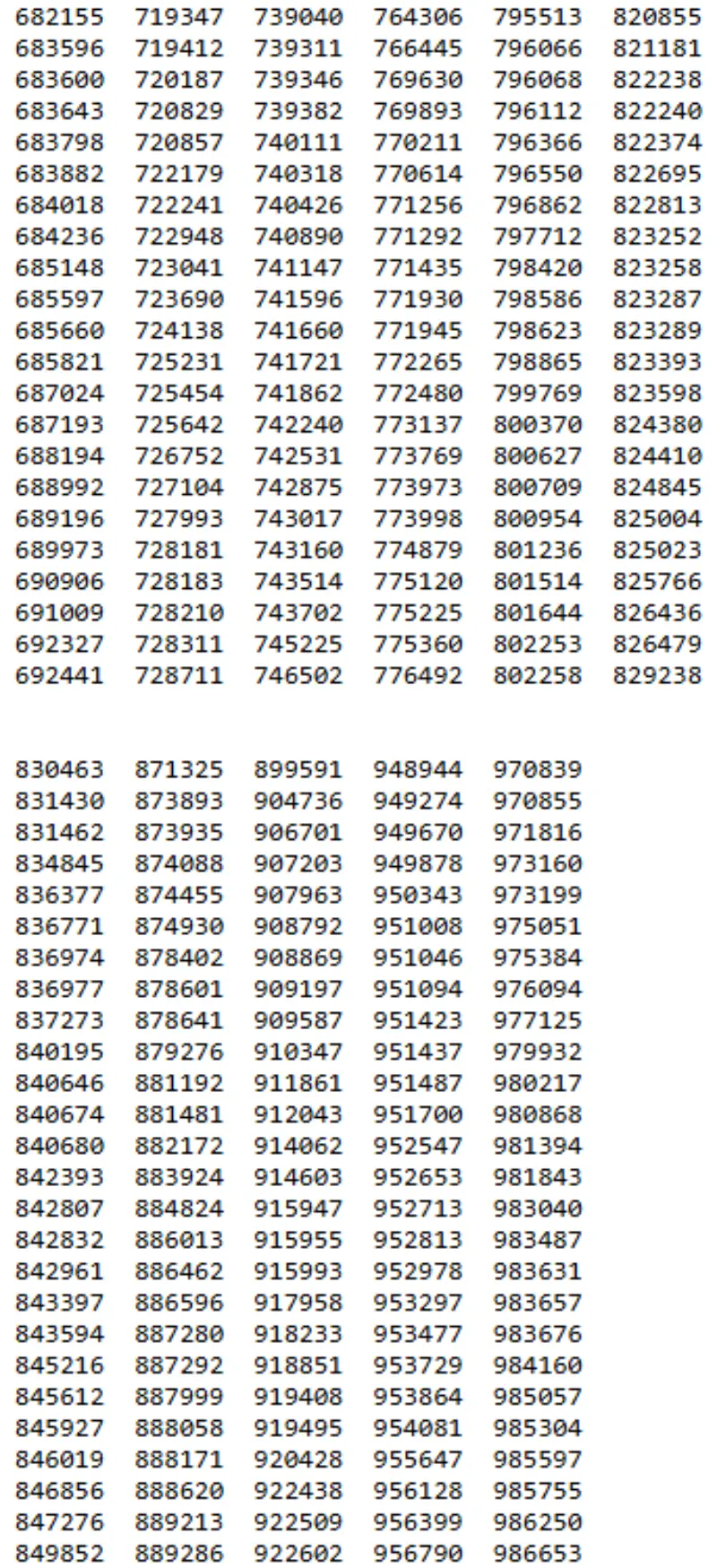
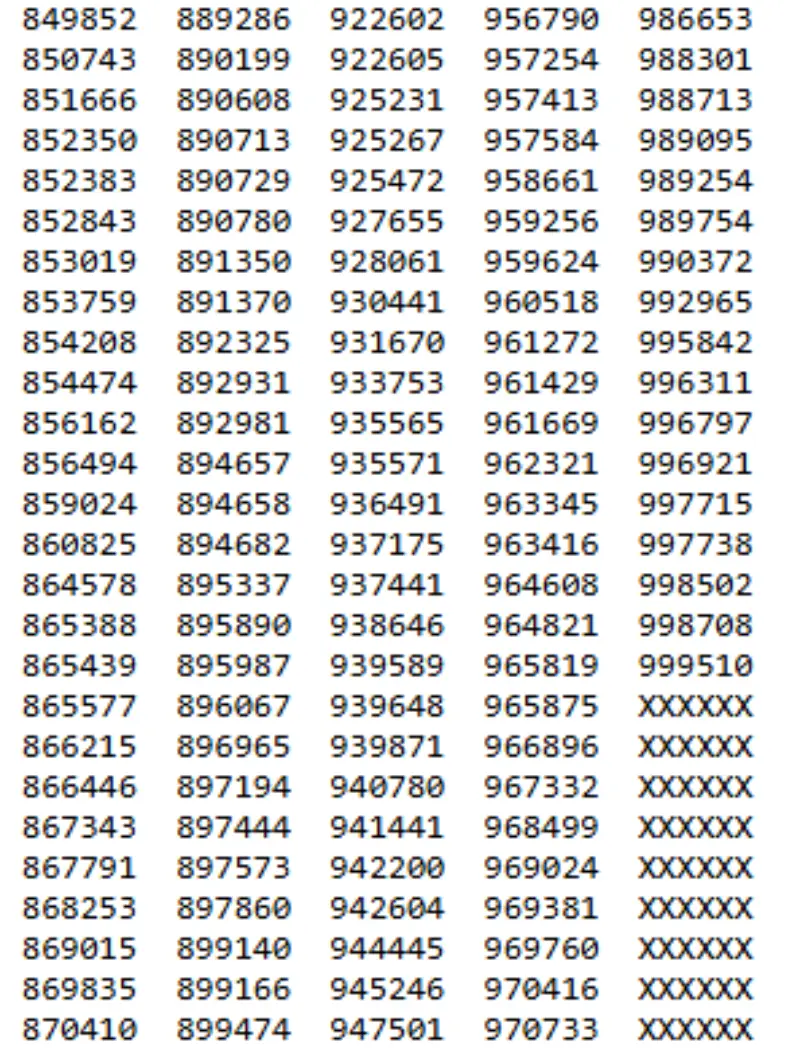
Here is full list of Rs1,500 prize bond winners for November 2025 draw
The National Savings Centre in Rawalpindi has announced the winners of the Rs1,500 prize bond draw for November 2025.
As per the State Bank of Pakistan’s (SBP) policy, the first prize is worth Rs3 million, while three second prizes of Rs1 million each have been awarded.

Rs1,500 Prize Bond Top Winners November 2025
First Prize: Rs3 million —– Ticket number: 091925
Second Prizes: Rs1 million each — Ticket numbers: 106210, 502971, 916702







For the latest news, follow us on Twitter @Aaj_Urdu. We are also on Facebook, Instagram and YouTube.






















Comments are closed on this story.