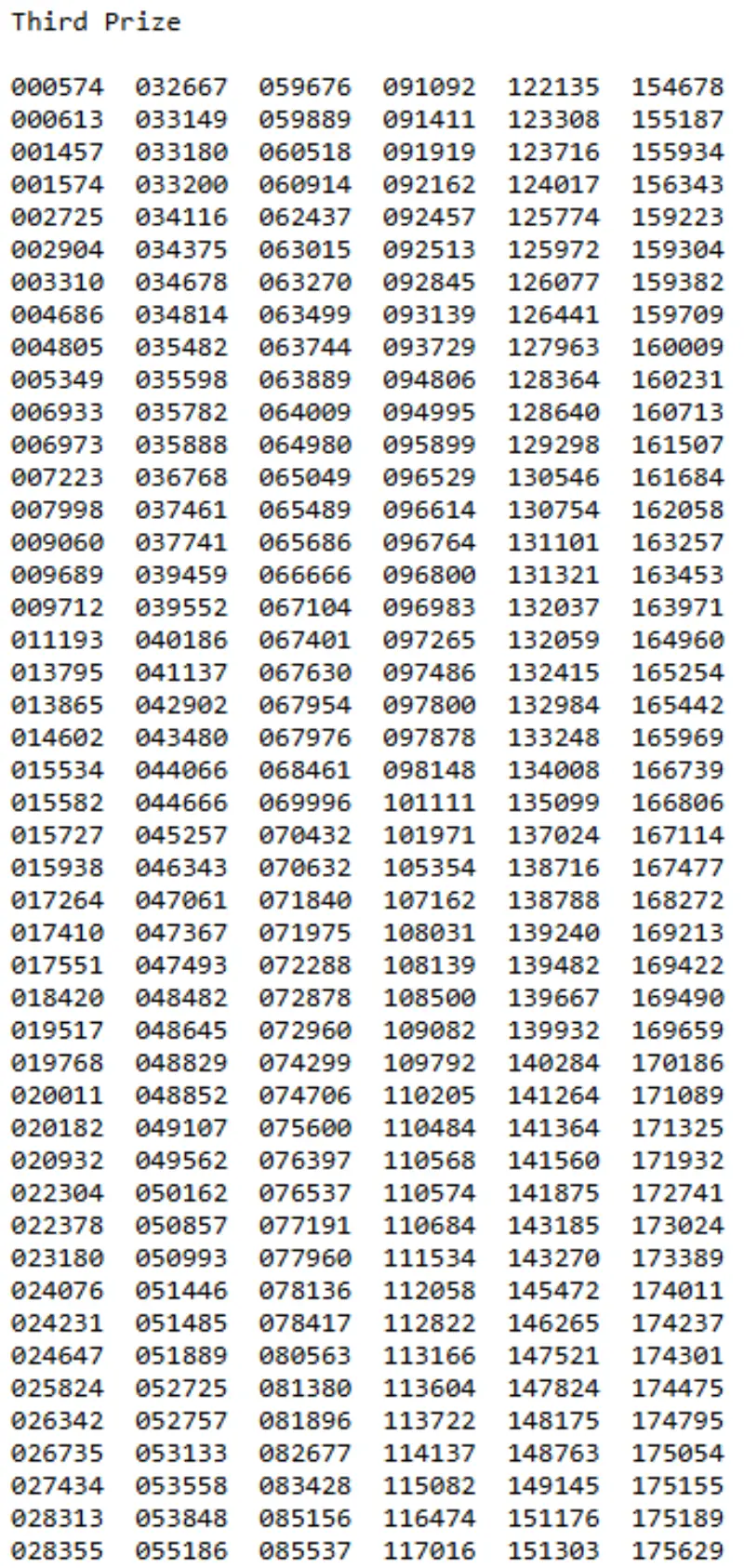
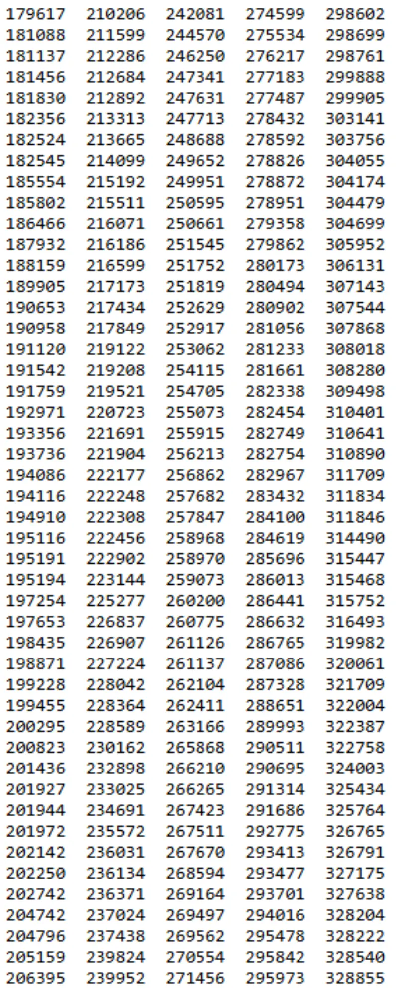
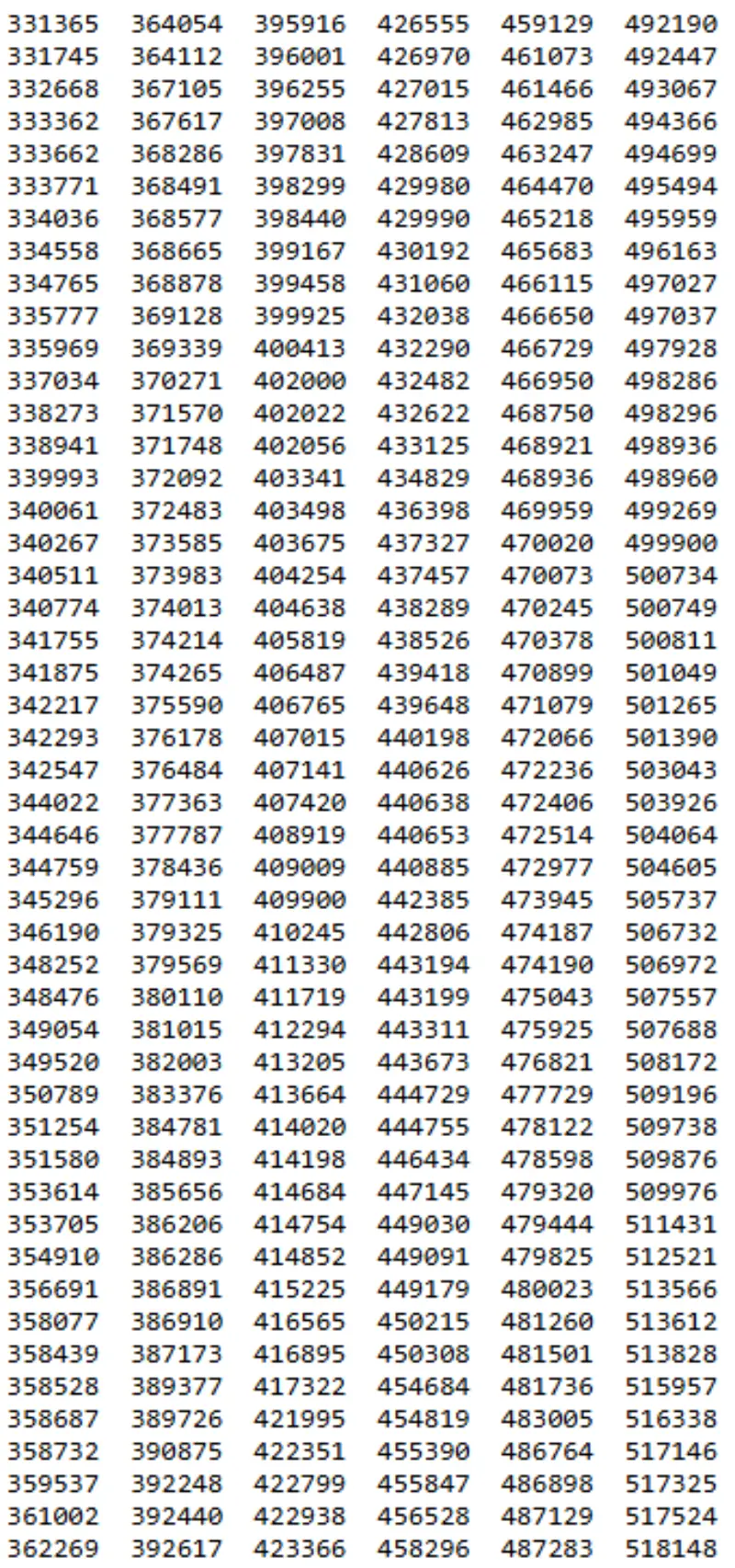
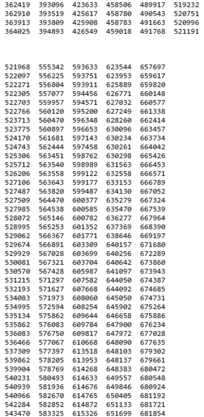
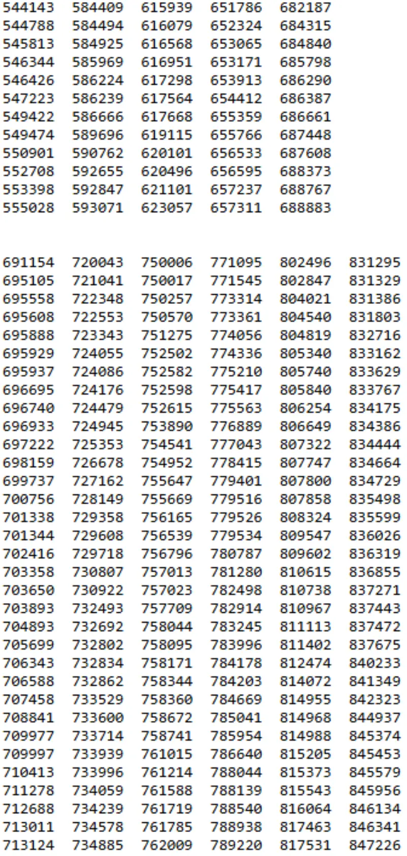
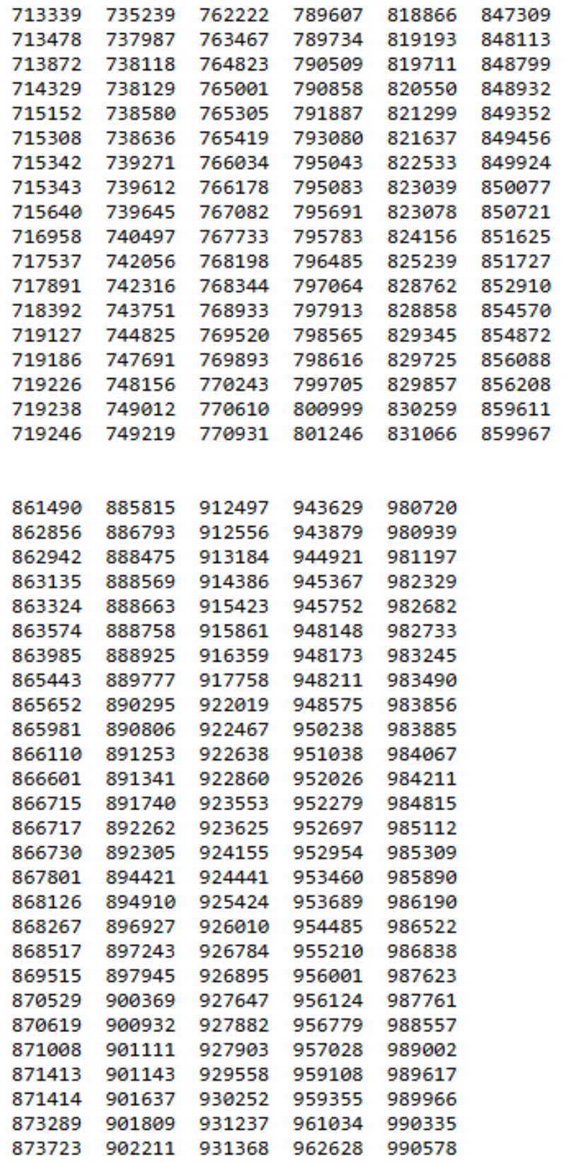
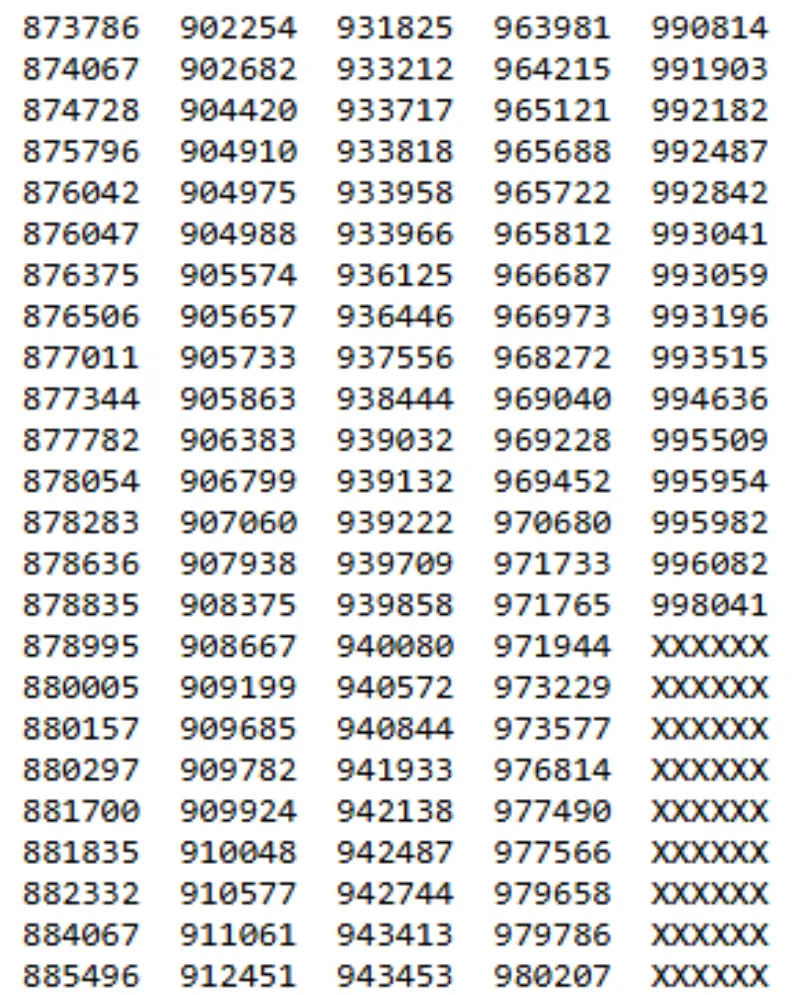
Check if you have won as Rs750 prize bond winners for Oct 15, 2025 announced
The National Savings Centre announced the results of the Rs750 prize bond draw held in Muzaffarabad on Wednesday (October 15, 2025).
According to the official announcement, the first prize of Rs1,500,000 went to bond number 797063.
The second prize, worth Rs500,000 each, was won by bond numbers 118702, 290665, and 668206.
The draw was conducted at the National Savings Division office in Muzaffarabad under the supervision of authorised officials.










For the latest news, follow us on Twitter @Aaj_Urdu. We are also on Facebook, Instagram and YouTube.






















Comments are closed on this story.