Rs25,000 prize bond winners for September draw announced, check the list here
The Rs25000 premium prize bond draw (Draw No. 19) was conducted in Karachi
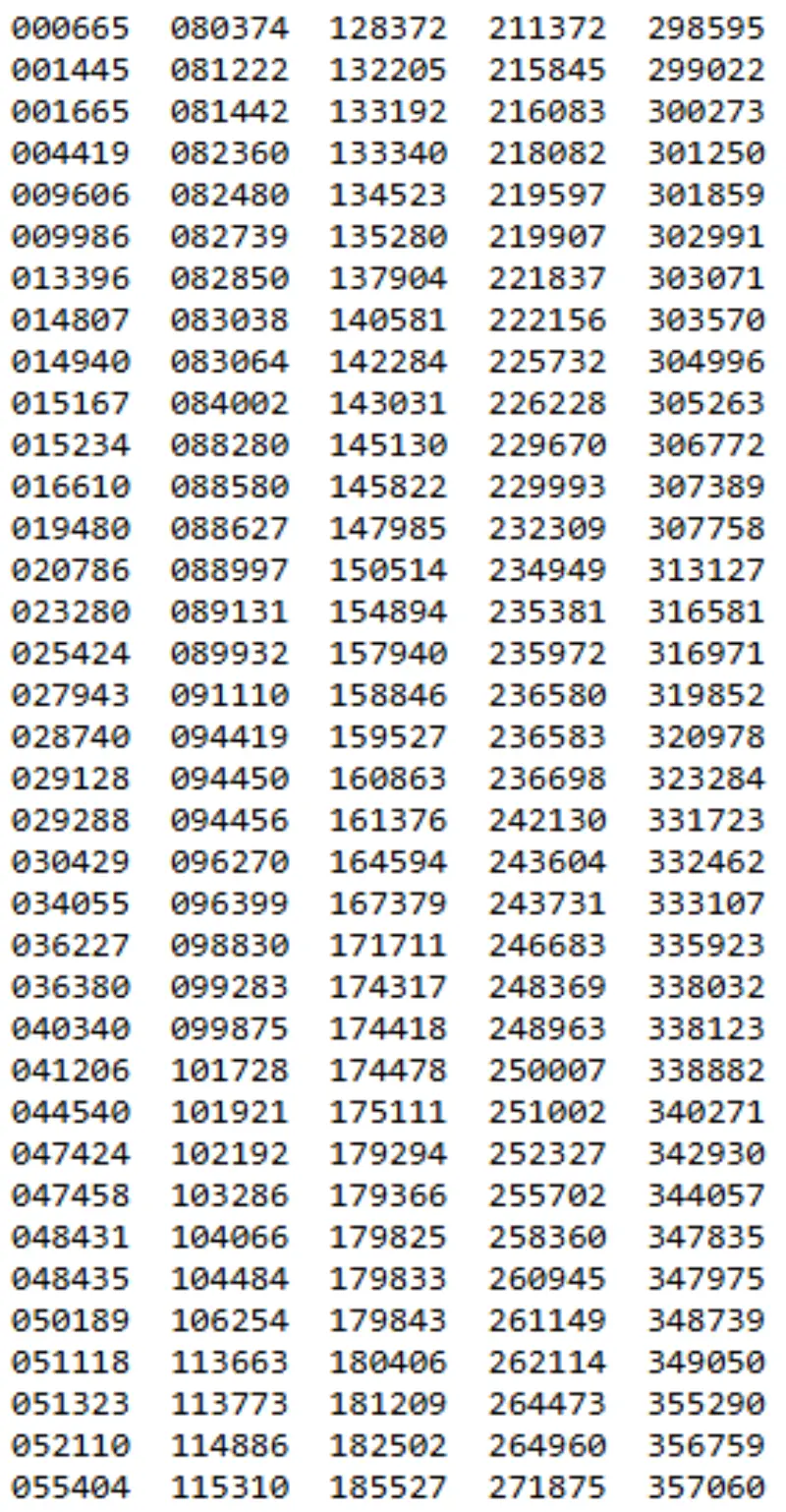
The government has announced winners of the Rs25,000 denomination national prize bond draw held on September 10, 2025, in Karachi.
National Savings declared that two winners bagged the first prize of Rs30 million each, while five winners received the second prize of Rs10 million each.

Additionally, 700 winners were awarded the third prize worth Rs30,0000 each.
Below is the list:




National savings
prize bond
Rs25000
Most Popular
Aaj English



















Comments are closed on this story.